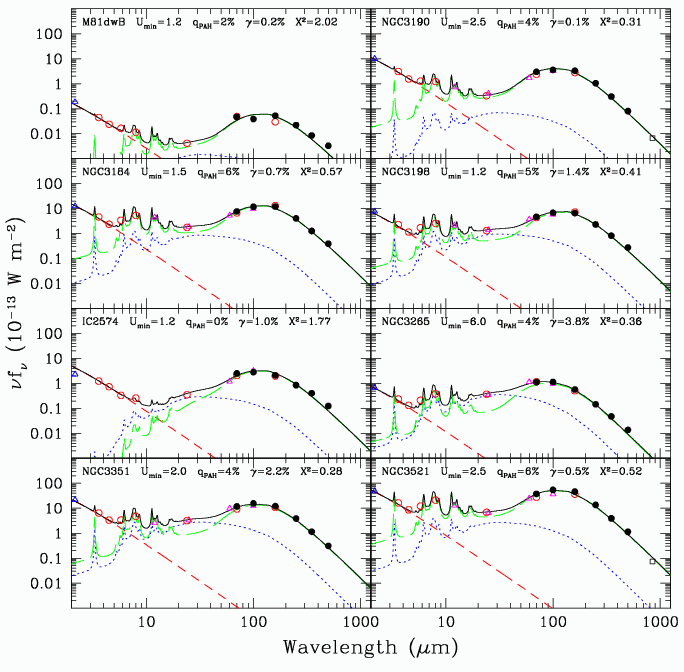
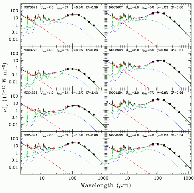
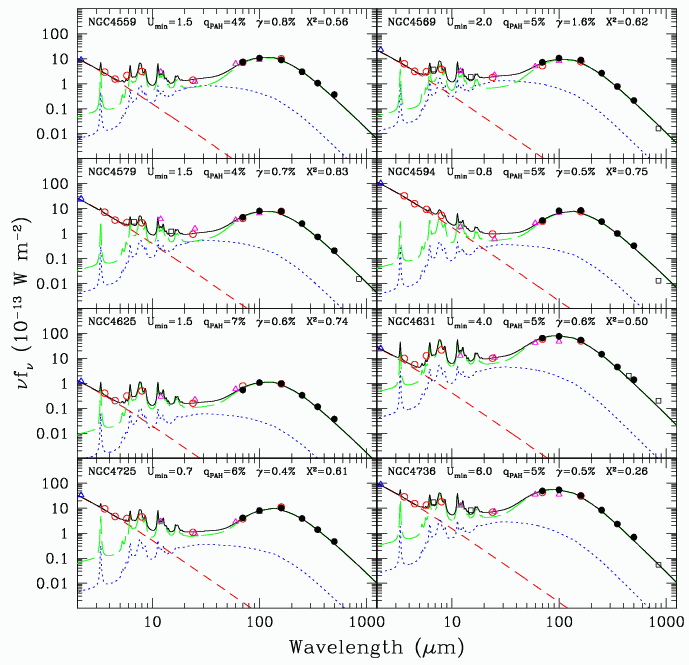
Sorted by RA; click on thumbnails to enlarge Fits follow the scheme laid out in Draine et al. (2007) Red dashed: 5000 K blackbody Blue dotted: PDR Green long dashed: Diffuse